Solving Trigonometric Equations: A Guide For Beginners

S.Dufferinbot 86 views
Solving Trigonometric Equations: A Guide For Beginners

Solving Trigonometric Equations: A Beginner’s Guide

Hey guys! Let’s dive into the fascinating world of trigonometry and, specifically, how to solve those sometimes tricky trigonometric equations. This guide is tailored for students in the ‘tronc commun’ – which is like the common core for you, my friends – and we’ll break down everything step by step. We’ll cover the basics, provide examples, and give you the tools you need to tackle these equations with confidence. So, grab your pencils, and let’s get started!

What Exactly Are Trigonometric Equations, Anyway?

Alright, before we get our hands dirty with solving these equations, let’s make sure we’re all on the same page about what they actually are. Trigonometric equations are equations that involve trigonometric functions like sine (sin), cosine (cos), tangent (tan), cotangent (cot), secant (sec), and cosecant (csc). Think of them as regular algebraic equations, but instead of variables like x or y , we’re dealing with angles and their relationships within triangles (or, more generally, within the unit circle). The goal when solving a trigonometric equation is the same as in any other equation: to find the values of the unknown variable (usually an angle, often represented by the Greek letter theta, θ) that make the equation true.

So, if you see something like sin(θ) = 0.5 , that’s a trigonometric equation. Your mission, should you choose to accept it, is to find the angle(s) θ that, when you take the sine of it, you get 0.5. These equations can range from simple ones, like the example above, to more complex ones that require a few more steps and some clever manipulation. But don’t sweat it; we’ll break down the common types and strategies to help you navigate them like pros. Remember the unit circle? That’s going to be your best friend when visualizing and understanding the solutions to these equations. It gives you a visual representation of the sine, cosine, and tangent values for all angles, which makes it super easy to spot the solutions.

Basic Trigonometric Identities You Need to Know

Okay, before you even think about solving trigonometric equations, you need to have a solid grasp of some fundamental trigonometric identities. These are basically equations that are always true, no matter what the angle is. Knowing these is like having the keys to the castle! They allow you to manipulate the equations, simplify them, and get to a point where you can actually find the solutions. Here are the most important ones:

  1. Pythagorean Identity : This is probably the most famous one: sin²(θ) + cos²(θ) = 1 . This identity comes directly from the Pythagorean theorem applied to the unit circle. It’s incredibly useful for switching between sines and cosines.
  2. Quotient Identities : These relate tangent, cotangent, secant, and cosecant to sine and cosine:
    • tan(θ) = sin(θ) / cos(θ)
    • cot(θ) = cos(θ) / sin(θ)
    • sec(θ) = 1 / cos(θ)
    • csc(θ) = 1 / sin(θ)
  3. Negative Angle Identities : These tell you how the trigonometric functions behave with negative angles:
    • sin(-θ) = -sin(θ) (Sine is an odd function)
    • cos(-θ) = cos(θ) (Cosine is an even function)
    • tan(-θ) = -tan(θ) (Tangent is an odd function)
  4. Reciprocal Identities : We already saw these a little bit, but they are important:
    • csc(θ) = 1 / sin(θ)
    • sec(θ) = 1 / cos(θ)
    • cot(θ) = 1 / tan(θ)

Memorizing these identities is crucial. Trust me; you’ll be using them constantly. Make flashcards, write them down repeatedly, or create a song – whatever helps you memorize them. The more comfortable you are with these identities, the easier solving trigonometric equations will become. Understanding why these identities are true is also super helpful, as it helps you remember them and apply them in different situations. Think about the unit circle, the definitions of the trigonometric functions, and the relationships between them. This will solidify your understanding and make you a trigonometric ninja!

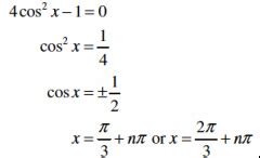
Solving Simple Trigonometric Equations

Let’s get down to business and start solving some equations! We’ll begin with the easiest ones, which typically involve a single trigonometric function and a constant. Here’s a general strategy:

  1. Isolate the Trigonometric Function : Your first step is to get the trigonometric function (sin, cos, tan, etc.) by itself on one side of the equation. Use algebraic manipulations like adding, subtracting, multiplying, or dividing to isolate it.
  2. Find the Reference Angle : Once you’ve isolated the trigonometric function, find the reference angle. This is the acute angle (between 0 and 90 degrees or 0 and π/2 radians) whose trigonometric value matches the absolute value of the value you found in step 1. You can often use your knowledge of the unit circle or a calculator (make sure it’s in the correct mode – degrees or radians!) to find the reference angle.
  3. Determine the Quadrants : Now, think about which quadrants the angle(s) can be in. Remember the acronym